Home
Physics
Chemistry
Mathematics
Biology
Home
Mathematics
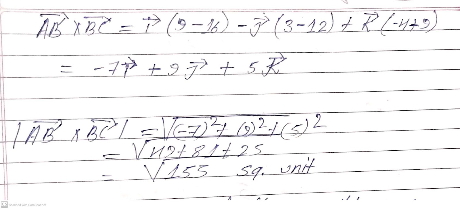
Find the are of the triangle formed by the points A(1,2,3),B(2,5,-1) and C(-1,1,2)
Find the are of the triangle formed by the points A(1,2,3),B(2,5,-1) and C(-1,1,2)
Find the are of the triangle formed by the points A(1,2,3),B(2,5,-1) and C(-1,1,2).
Answer:
Image Solution :
Also read:
1.)
Class 12 Organic Chemistry PDF File | Carboxylic Acid | Metal | Chemistry to Mankind | Life
2.)
Integral of (x+2) (3x+4)^1/2 | Anti-derivatives class 12
3.)
Integral of xe^x/cos^2(xe^x-e^x) dx | Class 12 Anti derivatives ,Maths
4.)
Integral of dx/(1+sinx) from 0 to pi | Evaluate integral from 0 to pi for dx/(1+sinx)
5.)
Grade 12 NEB: Wave and Wave Motion(Physics) | Complete Note with pdf
6.)
Grade 12 NEB: Thermodynamics(Physics) | Complete Note Class 12 with pdf
Post a Comment
0 Comments
Popular Posts
Grade 12 Physics Grid Specification Along with Question Pattern | All Five Units Detail Pattern
July 02, 2021
Grade 12: Chemistry New Grid Specification with Item Formal Plan || Latest Updated issued by CDC
July 03, 2021
All Subjects HISSAN Grade 12 Question Model | (Science + Management)
July 02, 2021
A Horizontal straight wire 5 cm long weighing 1.2 gm-1 is placed perpendicular to a uniform field of flux density 0.6 Tesla. if the resistance of the wire is 3.8 ohm per metre .calculate the potential difference that has to be applied between the ends of wire to make it just self supporting.
September 04, 2021
24 Most Important Question with Answer from Rotational Dynamics Class 12 | 90% above Fixed Marks From 1st Chapter.
November 03, 2021
0 Comments